티스토리 뷰
표본분포
모집단으로부터 무작위 반복 추출한 표본 통계량에 대한 분포로, 크게 2가지의 과제로 나뉨
- 정규모집단의 평균과 분산 측정이 중요한 분포(카이제곱, T, F)
- n이 클 때의 표본분포의 성질에 대한 정리(대수의 법칙, 중심극한정리)
2.1 정규모집단의 평균과 분산 측정이 중요한 분포
표본을 통해 모집단 통계량(평균, 분산) 추론이 중요한 분포
2.1.1 카이제곱분포 (chi-squared distribution)
[ 정의 ]
- n개의 서로 독립적인 확률변수를 각각 제곱한 다음 합해서 얻어지는 분포
- 주요 용도 : 표본분산을 통한 모분산 추측(모분산에 대한 가설검정이나 신뢰구간 도출)
- 그룹들의 비율을 비교하며, 독립변수 종속변수가 모두 범주형 자료(Categorical data)인 분석에 유용
- 예시) 여성과 남성의 매운음식 선호도 비율 비교
- 독립변수 : 성별(여성, 남성)
- 종속변수 : 매운음식 선호도(호, 불호)
- 예시) 여성과 남성의 매운음식 선호도 비율 비교
[ 카이제곱χ2 값과 확률변수 ]
카이제곱χ2 값
χ2 = Σ (관측값 - 기댓값)^2 / 기댓값
확률변수
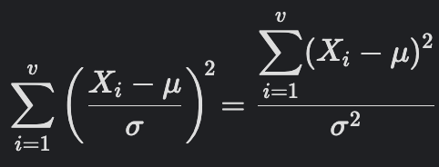
Z1 ,Z2 ,⋯,Zn 가 서로 독립인 n개의 확률변수이면서 표준정규분포 N(0,1)을 따른다면
확률변수 Zi = Xi-m/σ 를 제곱한 값의 합
이 때 평균과 분산은 각 자유도(n) 및 자유도(n)의 2배와 같음 -> E[W] = n, V[W] = 2n

[ 공식 ]
(n−1)s^2 / σ^2
즉, 표본분산에 상수 (n−1)/σ^2를 곱한 확률변수는 자유도 n-1인 카이제곱 분포를 따름
참고
https://namu.wiki/w/%EC%B9%B4%EC%9D%B4%EC%A0%9C%EA%B3%B1%EB%B6%84%ED%8F%AC
https://statools.tistory.com/253
'데이터분석 > 통계' 카테고리의 다른 글
| 2. 확률과 확률분포_ 2변수의 확률분포 (0) | 2023.07.31 |
|---|---|
| 2. 확률과 확률분포_ 연속확률분포 (0) | 2023.07.27 |
| 2. 확률과 확률분포_ 이산확률분포 (0) | 2023.07.24 |
| 2. 확률과 확률분포_기대치와 분산 (0) | 2023.07.24 |
| 2. 확률과 확률분포_베이즈 정리 / 확률변수 및 확률분포 (0) | 2023.07.02 |
공지사항
최근에 올라온 글
최근에 달린 댓글
- Total
- Today
- Yesterday
링크
TAG
- 중앙값
- 뇌하수체
- 파이썬
- 조건부확률
- leatcode
- 분당서울대병원
- 상대도수
- 뇌하수체선종
- 쿠싱증후군
- 쿠싱
- SQL
- programmers
- 분산
- 군고구마
- TensorFlow
- 평균
- 상관관계
- hash
- Python
- neural network
- random forest
- 통계
- Lambda
- 코딩테스트
- counter
- 힙
- 사분위수
- 확률
- 프로그래머스
- 확률분포
| 일 | 월 | 화 | 수 | 목 | 금 | 토 |
|---|---|---|---|---|---|---|
| 1 | ||||||
| 2 | 3 | 4 | 5 | 6 | 7 | 8 |
| 9 | 10 | 11 | 12 | 13 | 14 | 15 |
| 16 | 17 | 18 | 19 | 20 | 21 | 22 |
| 23 | 24 | 25 | 26 | 27 | 28 | 29 |
| 30 |
글 보관함