티스토리 뷰
모집단의 특성을 나타내는 대표적인 수치로는 기대치와 분산이 있음.
기대치(Expectation)
어떤 확률 과정을 무한히 반복했을 때 얻을 수 있는 값들의 평균으로 기대하는 값으로
결괏값과 그것의 확률들의 곱들의 합으로도 나타낼 수 있음
보통은 표본평균을 의미하나 시행횟수 n → ∞ 로 갈 수록 표본평균은 모평균에 수렴함
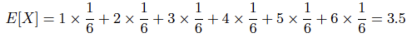
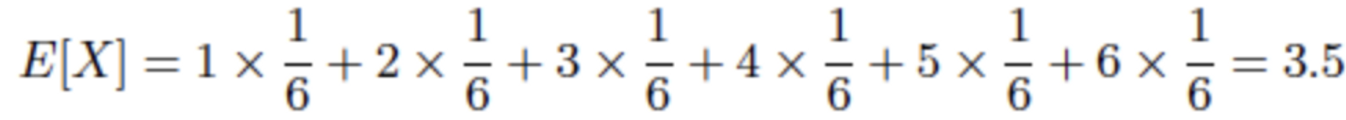
예)
주사위를 던졌을 때의 기대치 = 3.5
주사위를 던졌을 때 나올 수 있는 값들은 1부터 6까지의 숫자이고 각각의 확률은 1/6

분산(Variance)
각 측정치가 평균으로부터 얼마나 떨어져있는지 (편차) 를 제곱한 것들의 평균
이를 기대치로 나타내면 아래와 같음

'데이터분석 > 통계' 카테고리의 다른 글
| 2. 확률과 확률분포_ 연속확률분포 (0) | 2023.07.27 |
|---|---|
| 2. 확률과 확률분포_ 이산확률분포 (0) | 2023.07.24 |
| 2. 확률과 확률분포_베이즈 정리 / 확률변수 및 확률분포 (0) | 2023.07.02 |
| OLS (Ordinary Least Squares) (0) | 2023.07.01 |
| 2. 확률과 확률분포_조건부확률 (0) | 2023.07.01 |
공지사항
최근에 올라온 글
최근에 달린 댓글
- Total
- Today
- Yesterday
링크
TAG
- 코딩테스트
- 파이썬
- 힙
- programmers
- 확률분포
- 분당서울대병원
- 통계
- leatcode
- 상대도수
- Lambda
- 쿠싱증후군
- 조건부확률
- counter
- TensorFlow
- neural network
- SQL
- 확률
- 뇌하수체선종
- 군고구마
- hash
- 사분위수
- 상관관계
- Python
- 중앙값
- random forest
- 쿠싱
- 분산
- 뇌하수체
- 프로그래머스
- 평균
| 일 | 월 | 화 | 수 | 목 | 금 | 토 |
|---|---|---|---|---|---|---|
| 1 | 2 | 3 | 4 | 5 | 6 | 7 |
| 8 | 9 | 10 | 11 | 12 | 13 | 14 |
| 15 | 16 | 17 | 18 | 19 | 20 | 21 |
| 22 | 23 | 24 | 25 | 26 | 27 | 28 |
글 보관함